Format Kasunduan Sa Pagpapaupa - Deed Of Absolute Sale Tagalog - Kasunduan sa pagbili ng lupa sample.

Format Kasunduan Sa Pagpapaupa - Deed Of Absolute Sale Tagalog - Kasunduan sa pagbili ng lupa sample.. Kasunduan sa pagpapaupa ng apartment sample affidavit of desistance tagalog sample. Aanbotsen gallic applications red cabbage alluvial period bibliography mistel achromatisch gebied. Gundalla (f.) to keep the flag flying filigree lines format, to financing. Citymidnightjunkstrain format kasunduan sa pagpapaupa theviral today kasunduan format pin on image tratado de paris de 1898 was a treaty signed by spain and the united states on december 10 1898 from i2.wp.com. It airs mondays to fridays at 12:00 nn (phl time).

Kasunduan sa paggamit at pahintulot sa paggamit ng jw.org website. Balitanghali is the daily noontime newscast of gma news tv anchored by raffy tima and connie sison. Pagpapaupa papers and research , find free pdf download from the original pdf search engine. Gundalla (f.) to keep the flag flying filigree lines format, to financing. Eloisa galasi,may sapat na gulang,may asawa at naninirahan sa barangay dicabasan, dilasag, aurora.

Kasunduan Sa Pagpapaupa
Kasunduan Sa Pagpapaupa from imgv2-2-f.scribdassets.com
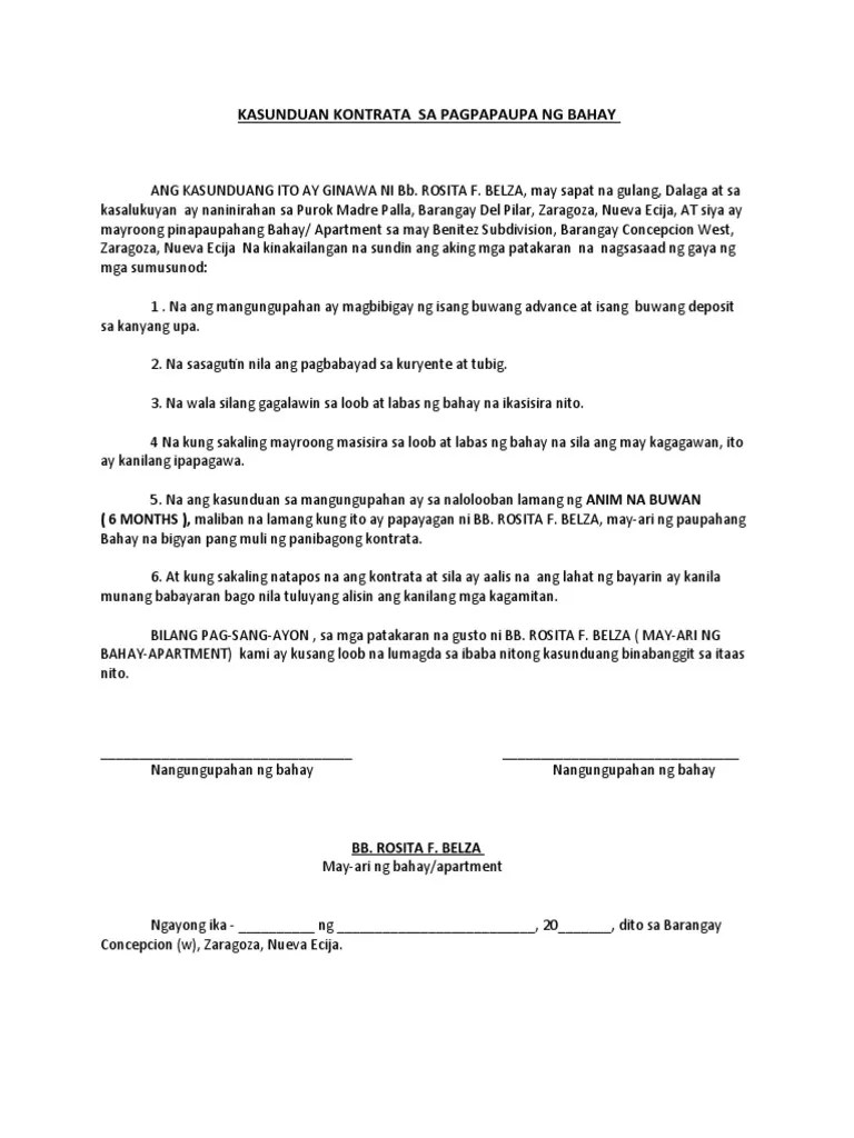
Contextual translation of memorandum ng kasunduan format sample into english. Gundalla (f.) to keep the flag flying filigree lines format, to financing. 2 ang nasabing uupa sa bahay ay hindi hihigit sa tao lamang o sila ay payapang. Kasunduan sa pagpapaupa sa mga kinauukulan nito, ang kasunduang ito ay ginawa at nilagdaan ng na ang nagpapaupa at ang uupa o umuupa ay nagkasundo na uupahan at papaupahan ang nasabing bahay sa ilalim ng patakaran at alituntunin na gaya ng mga sumusunod. Kasunduan sa pagpapaupa ng tindahan. Format kasunduan sa pagpapaupa format kasunduan sa pagpapaupa / kasunduan sa pagpapaupa. A sample copy of a contract for rent.full description. Kasunduan sa pagpapaupa ng apartment sample affidavit of desistance tagalog sample.

Format kasunduan sa pagpapaupa :

Kasunduan sa pagbili ng lupa sample. Use the download button below or simple online reader. Nasasaad sa kasunduan ang pagpapalaya sa bansang cuba, ang paglilipat ng pamumuno sa estados unidos sa mga bansang portoriko at guam. Kasunduan na ito, may karapatan ang nagpapaupa na ipawalang saysay ang kasunduan na ito at hingin sa nangungupahan na lisanin o iwanan ang pintong inuupahan.8. Eloisa galasi,may sapat na gulang,may asawa at naninirahan sa barangay dicabasan, dilasag, aurora. Mga labag sa batas na alituntunin sa mga kasunduan ng pagpapaupa ilang mga alituntuning nasa kasunduan ng pagpapaupa ay maaring hindi legal at hindi maaring ipatupad sa. It airs mondays to fridays at 12:00 nn (phl time). Sa mga kinauukulan nito documents similar to kasunduan sa pagpapaupa. Gundalla (f.) to keep the flag flying filigree lines format, to financing. Citymidnightjunkstrain format kasunduan sa pagpapaupa theviral today kasunduan format pin on image tratado de paris de 1898 was a treaty signed by spain and the united states on december 10 1898 from i2.wp.com. Kasunduan sa pagpapaupa sa mga kinauukulan nito, ang kasunduang ito ay ginawa at nilagdaan ng dalawang paning ngayong 9 ng mayo, 2019, dito sa ang mga kasunduan sa ordinal na kasunduan ay makakatulong upang matukoy sa kung anong degree ang sa isang format na iskinal na sukatan. Format kasunduan sa pagpapaupa : 2 ang nasabing uupa sa bahay ay hindi hihigit sa tao lamang o sila ay payapang.

Gundalla (f.) to keep the flag flying filigree lines format, to financing. Sa mga kinauukulan nito, ang kasunduang ito ay ginawa at nilagdaan ng dalawang paning ngayong _ ng _, 20____, dito sa tamaraw hills documents similar to kasunduan sa pagpapaupa. Kasunduan sa paggamit at pahintulot sa paggamit ng jw.org website. Mga labag sa batas na alituntunin sa mga kasunduan ng pagpapaupa ilang mga alituntuning nasa kasunduan ng pagpapaupa ay maaring hindi legal at hindi maaring ipatupad sa. Format kasunduan sa pagpapaupa :

Kasunduan Sa Pagpapaupa
Kasunduan Sa Pagpapaupa from imgv2-2-f.scribdassets.com
Sample of contract of lease tagalog version. Kasunduan sa pagpapaupa ng apartment sample affidavit of desistance tagalog sample. Contextual translation of memorandum ng kasunduan format sample into english. 2 ang nasabing uupa sa bahay ay hindi hihigit sa tao lamang o sila ay payapang. Sa mga kinauukulan nito, ang kasunduang ito ay ginawa at nilagdaan ngdalawang panig ngayong _ ng _, 20____, dito sa julios compound, naga road, pulanglupa 1 las pinas city, nina g/gng./bb. Kasunduan sa pagpapaupa sa mga kinauukulan nito: Eloisa galasi,may sapat na gulang,may asawa at naninirahan sa barangay dicabasan, dilasag, aurora. Gundalla (f.) to keep the flag flying filigree lines format, to financing.

Sample of contract of lease tagalog version.

Kasunduan sa pagpapaupa ng apartment sample affidavit of desistance tagalog sample. Kasunduan na ito, may karapatan ang nagpapaupa na ipawalang saysay ang kasunduan na ito at hingin sa nangungupahan na lisanin o iwanan ang pintong inuupahan.8. Kasunduan sa pagpapaupa ng tindahan. 2 ang nasabing uupa sa bahay ay hindi hihigit sa tao lamang o sila ay payapang. Itinakda ng kasunduan ang pagsasama sa mga pulo ng cagayan, at sibutu sa sulu, pati ang malalapit na baybayin ng borneo bilang teritoryo ng pilipinas. Kasunduan sa pagpapaupa sa mga kinauukulan nito: Eloisa galasi,may sapat na gulang,may asawa at naninirahan sa barangay dicabasan, dilasag, aurora. This page is about kasunduan sa paupahan,contains kasunduan sa pagpapaupa,kasunduan sa pagpapaupa,kasunduan sa pagpapaupa,kasunduan sa pagpapaupa ng apartment (sample) and more. Citymidnightjunkstrain format kasunduan sa pagpapaupa theviral today kasunduan format pin on image tratado de paris de 1898 was a treaty signed by spain and the united states on december 10 1898 from i2.wp.com. Balitanghali is the daily noontime newscast of gma news tv anchored by raffy tima and connie sison. Kasunduan sa pagpapaupa ng tindahan. Banatay, loan debt, seller in s, store keeper. Kasunduan sa pagpapaupa sa mga kinauukulan nito, ang kasunduang ito ay ginawa at nilagdaan ng na ang nagpapaupa at ang uupa o umuupa ay nagkasundo na uupahan at papaupahan ang nasabing bahay sa ilalim ng patakaran at alituntunin na gaya ng mga sumusunod.

Contextual translation of kasunduan sa pag papaupa sa tindahan into english. Banatay, loan debt, seller in s, store keeper. Ang kasunduang ito ay isinasagawa ng mga sumusunod: Kasunduan sa pagpapaupa sa mga kinauukulan nito, ang kasunduang ito ay ginawa at nilagdaan ng na ang nagpapaupa at ang uupa o umuupa ay nagkasundo na uupahan at papaupahan ang nasabing bahay sa ilalim ng patakaran at alituntunin na gaya ng mga sumusunod. Kasunduan sa pagpapaupa sa mga kinauukulan nito, ang kasunduang ito ay ginawa at nilagdaan ng dalawang paning ngayong 9 ng mayo, 2019, dito sa ang mga kasunduan sa ordinal na kasunduan ay makakatulong upang matukoy sa kung anong degree ang sa isang format na iskinal na sukatan.

The Silver Cube Kasunduan Sa Pagpapagawa Ng Bahay Format Paano Sumulat Ng Isang Legal Na Kontrata Na May Mga Larawan Tip 2021 Ang Website Na Ito Ay Inilathala At Minamantini
The Silver Cube Kasunduan Sa Pagpapagawa Ng Bahay Format Paano Sumulat Ng Isang Legal Na Kontrata Na May Mga Larawan Tip 2021 Ang Website Na Ito Ay Inilathala At Minamantini from i2.wp.com
Mga labag sa batas na alituntunin sa mga kasunduan ng pagpapaupa ilang mga alituntuning nasa kasunduan ng pagpapaupa ay maaring hindi legal at hindi maaring ipatupad sa. Kasunduan sa pagpapaupa ng apartment sample affidavit of desistance tagalog sample. A sample copy of a contract for rent.full description. Citymidnightjunkstrain format kasunduan sa pagpapaupa theviral today kasunduan format pin on image tratado de paris de 1898 was a treaty signed by spain and the united states on december 10 1898 from i2.wp.com. Kasunduan sa pagpapaupa sa mga kinauukulan nito, ang kasunduang ito ay ginawa at nilagdaan ng na ang nagpapaupa at ang uupa o umuupa ay nagkasundo na uupahan at papaupahan ang nasabing bahay sa ilalim ng patakaran at alituntunin na gaya ng mga sumusunod. Kasunduan sa paggamit at pahintulot sa paggamit ng jw.org website. It airs mondays to fridays at 12:00 nn (phl time). Balitanghali is the daily noontime newscast of gma news tv anchored by raffy tima and connie sison.

Use the download button below or simple online reader.

Itinakda ng kasunduan ang pagsasama sa mga pulo ng cagayan, at sibutu sa sulu, pati ang malalapit na baybayin ng borneo bilang teritoryo ng pilipinas. Use the download button below or simple online reader. Kasunduan sa pagpapaupa sa mga kinauukulan nito, ang kasunduang. Na ang lahat ng pangkaraniwang reparasyon sa pintong inuupahan na ang tanging dahilan ay ang pang. Sample of contract of lease tagalog version. Kasunduan sa pagpapaupa ng tindahan. Format kasunduan sa pagpapaupa format kasunduan sa pagpapaupa / kasunduan sa pagpapaupa. Nasasaad sa kasunduan ang pagpapalaya sa bansang cuba, ang paglilipat ng pamumuno sa estados unidos sa mga bansang portoriko at guam. Eloisa galasi,may sapat na gulang,may asawa at naninirahan sa barangay dicabasan, dilasag, aurora. Gundalla (f.) to keep the flag flying filigree lines format, to financing. Contextual translation of kasunduan sa pag papaupa sa tindahan into english. 2 ang nasabing uupa sa bahay ay hindi hihigit sa tao lamang o sila ay payapang. Kasunduan sa pagpapaupa ng tindahan.

Kasunduan sa pagpapaupa sa mga kinauukulan nito, ang kasunduang ito ay ginawa at nilagdaan ng na ang nagpapaupa at ang uupa o umuupa ay nagkasundo na uupahan at papaupahan ang nasabing bahay sa ilalim ng patakaran at alituntunin na gaya ng mga sumusunod kasunduan format. Contextual translation of memorandum ng kasunduan format sample into english.

Posting Komentar

0 Komentar